据能源圈了解到,
摘要:选取了作为典型储能电池单体的商用磷酸铁锂/石墨电池为研究对象,探究其在不同充电截止电压(3.65、4.20、4.40、4.60和4.80 V)下的过充循环性能演变特性。通过构建电池容量衰减模型,分析了磷酸铁锂电池在不同程度过充循环下的容量衰减情况。进一步借助电压微分曲线(DV)无损分析,同时结合关键电极材料的微观形貌表征和元素分析,对磷酸铁锂电池过充循环下的容量衰减机理进行了深入研究。结果表明,过充电压越高,电池容量衰减越快。特别在4.60 V过充循环时,平均容量衰减速率达到了每循环0.232‰,是正常循环下的3.1倍。
关键词:磷酸铁锂电池;过度充电;容量衰减模型;电压微分曲线;活性锂损失
为加快实现“双碳”战略目标,全球大力推进太阳能、潮汐能、风能、地热能等绿色清洁新能源的开发利用[1]。目前清洁能源普遍存在波动性和间歇性强及地域分布广泛等特点,因此储能技术作为保障新能源消纳、提升电力系统灵活性、支撑新型电力系统安全稳定运行的关键技术之一,近年来迎来了爆发式增长。其中,磷酸铁锂电池以其高能量密度、长循环寿命、低成本和高安全性等综合特性,在储能领域取得了优势地位[2]。
在磷酸铁锂电池储能系统中,由于电池本身固有的一致性差异,以及日历和循环老化等因素,系统中的电芯便会逐渐形成一个容量梯度分布。此时进行充电时,容量相对较小的电池将会被迫进行过度充电,且过充的程度与容量梯度大小呈正相关。虽然目前电池管理系统的主动均衡功能可以在一定程度上减缓容量梯度的进一步增长,但无法从根本上消除电芯不一致性[3-4]。过充电将会加速电池内部一系列副反应的发生,从而导致电池电化学性能加速老化,甚至还会引发热失控甚至爆炸等严重后果,严重影响储能系统安全。因此,深入了解不同程度过充工况下磷酸铁锂电池的性能失效规律和失效机理,对于保障储能系统安全稳定运行至关重要。
目前关于磷酸铁锂电池在过充工况下的容量衰减机理研究文献报道相对较少。Belov等[5]通过对过充失效后软包磷酸铁锂电池的研究发现,刺破隔膜的锂枝晶的生成和外界金属只粒(如铁)的存在可能是电池在过充电过程中失效的主要原因。Xu Fan等[4]通过对磷酸铁锂半电池的循环伏安实验以及对过充失效前后磷酸铁锂电池电极材料的表征分析,指出了在过充循环过程中正极铁离子会被还原为金属铁,并在负极沉积,生成铁枝晶从而刺破隔膜导致电池发生微短路。可能受限于早期电池制造工艺成熟度较低,上述研究中的磷酸铁锂电池经过数次过充循环后便会发生失效。近期王银飞等[6]借助容量增量分析和电化学阻抗谱分析,并结合电池容量衰减机制量化方程,针对微过充条件下磷酸铁锂电池的容量衰减机理展开了研究,发现更高的充电截止电压会加速消耗活性锂,在负极生成更厚的固体电解质界面膜(solid electrolyte interface,SEI),导致电池容量衰减更快。然而该研究中过充电压设置相对较低(最高过充电压为3.90 V,仅比正常充电截止电压高0.30 V),电池容量衰减程度也相对较小(最大容量衰减率仅为3.51%),并未充分展现过充对磷酸铁锂电池全生命周期的影响特性。
本工作中选择的实验对象为用作储能电池系统典型单体的某商用18650圆柱形磷酸铁锂(lithium iron phosphate,LFP)电池,通过研究电池在不同充电截止电压(3.65、4.20、4.40、4.60和4.80 V)下的循环性能演变规律,并通过构建容量衰减模型模拟电池不同程度过度充电工况下的容量衰减过程;借助电压微分曲线(voltage differential,DV)对电池容量衰减因素进行了定性和定量分析;结合电池正负极活性材料微观形貌和元素分析,对磷酸铁锂电池过充循环工况下容量衰减机理进行了深入探究。
1 实验
1.1 材料
本工作中实验对象为某商用18650型磷酸铁锂电池,额定容量1.20 Ah,标称电压3.20 V,充电截止电压3.65 V,放电截止电压2.50 V。电池正极活性材料为磷酸铁锂(LiFePO4),负极活性材料为石墨。为确保实验结果的可靠性和一致性,选取3只初始放电容量Q0偏差在2%以内的电池作为同批次研究对象,后续进行数据分析时,均取3只电池实验数据的平均值作为分析数据。具体实验内容主要由参考性能测试实验(reference performance test,RPT)、过充循环老化实验以及电极材料表征分析实验三部分组成;参考性能测试具体包括电池放电容量测试和电压微分曲线分析,电极材料表征分析具体包括扫描电子显微镜(scanning electron microscope,SEM)分析和能谱分析。
1.2 参考性能测试
(1)电池放电容量测试
过充循环老化实验开始之前,在室温下对新鲜电池进行放电容量的测试,测试程序如下:首先将电池以0.25 C(0.30 A)恒流转恒压模式充电[充电截止电压为3.65 V,充电截止电流为0.01 C(0.012 A)],充电完成后静置30 min,再以0.25 C(0.30 A)恒流放电至2.50 V,静置30 min,如此循环3次,取3次放电容量平均值作为该电池实际可放电容量Q。新鲜电池第一次进行放电容量测试所得容量记为该电池初始放电容量Q0,测试设备选用的是蓝电电池测试仪。
(2)电压微分曲线分析
本工作中选取电池充放电容量测试中最后一次放电数据进行微分处理以获取电压微分曲线。具体地,先对放电曲线进行平滑处理[LOWNESS平滑,参数0.01(0~1)],随后进行微分处理(dV/dQ)得到电压微分曲线[7]。
1.3 过充循环测试
为确定过充循环充电截止电压,先对该型磷酸铁锂电池的安全充电电压边界进行了探究。具体地,取3只一致性较好的电池作为同一批次,在室温下均以1 C电流进行恒流充电,直至电池失效或发生热失控,取3只电池在充电过程中出现的最大电压的平均值作为该型LFP电池的安全充电电压边界。
在已知安全充电电压边界的前提下,在室温下对五组经过一致性筛选后的电池进行不同电压的过充循环测试,具体测试程序如下:首先,以1 C的电流恒流充电至不同充电截止电压(3.65、4.20、4.40、4.60和4.80 V),再以恒压模式充电至电流降低到0.01 C,静置30 min;随后以1 C恒流放电至2.50 V,静置30 min。后续按照上述过充循环测试程序如此循环,为了分析过充循环对电池电化学性能的影响,定期对循环实验电池进行RPT测试,测得电池经老化后的放电容量记为Qaged。本工作中的健康状态(state of health,SOH)定义为在正常充放电循环老化后或在不同充电截止电压下进行过充循环老化后的电池的放电容量Qaged与新鲜电池的初始放电容量Q0之比,如式(1)所示:

1.4 电极材料表征
电池拆解过程均在手套箱中进行,拆解前所有电池荷电状态均调整为0。待电池不锈钢外壳拆除后,首先将正极、负极和隔膜分开并观察各组分的宏观状态。接着截取部分正负极极片作为电极材料表征测试样品,并用电解质溶剂碳酸二甲酯(dimethyl carbonate,DMC)对样品进行洗涤,随后放置在60 ℃真空干燥箱中干燥8 h,以除去可能残留的电解液。采用扫描电子显微镜对新鲜电池和不同老化状态的电池正负极极片表面微观形貌进行观察,并借助能谱仪对极片中的元素种类和含量进行表征分析。所用扫描电镜为德国Zeiss公司Merlin Compact场发射扫描电子显微镜,配备英国Oxford公司能谱仪(Energy dispersive spectrometer,EDS),加速电压设置为30 kV。
2 结果与讨论
2.1 不同过充电压下磷酸铁锂电池循环性能演变特性

图1 (a)恒流充电过程中、(b)4.80 V为截止电压时LFP电池电压及电流变化曲线;(c)不同充电截止电压下LFP电池SOH随循环次数的演化曲线。
首先我们探究了该型磷酸铁锂电池的安全充电电压边界,结果如图1(a)所示。以1 C对新电池进行恒流充电时,在经过较为平坦的电压平台(3.20 V)后,电池电压迅速上升,最大值可达5.26 V,之后电压开始下降,在降至4.87 V时,电压和电流均瞬间降为0,并失去了二次充放电能力。经观察,电池外观并无明显变化,初步判断该型电池为性能失效。在确定了安全充电电压边界后,接下来选取了4.20、4.40、4.60和4.80 V作为过充循环测试的充电截止电压。图1(b)显示,以4.80 V为过充电压时,该型磷酸铁锂电池仅进行了数个充放电循环便同样出现了性能失效。实验结果表明,在深度过充电情况下(本文中电压≥4.80 V),即重度过充工况下,磷酸铁锂电池电化学性能将会受到严重的不利影响并迅速失效。
表1 LFP电池在不同充电截止电压下循环一定次数后SOH的变化情况

不同截止电压充电循环寿命测试结果[图1(c)和表1]显示,当充电截止电压降到4.80 V以下时,过充电(4.20、4.40和4.60 V)会明显加速磷酸铁锂电池健康状态的老化过程,并且充电电压越高,容量衰减也越快。在正常条件下循环老化时[图1(c),橙色点线],该型磷酸铁锂电池容量变化呈线性缓慢衰减,800次后SOH降至94.05%,每个循环的平均容量衰减速率为0.074‰,符合其正常循环老化规律。当过充电程度较小时(3.65 V<电压≤4.20 V),定义为轻度过充,过充电对电池电化学性能影响较小[图1(c),米褐色点线]。而如果过充电程度继续加深(4.20 V<电压<4.80 V),将显著加速磷酸铁锂电池的循环老化过程,在此定义为中度过充。在4.40和4.60 V时,电池每个循环的的平均容量衰减速率分别为0.134‰和0.232‰(表1),是正常循环的1.8倍和3.1倍。
2.2 磷酸铁锂电池过充循环容量衰减模型的构建
我们进一步对不同程度过充循环下磷酸铁锂电池的容量衰减规律进行了深入分析,构建了磷酸铁锂电池过充循环容量衰减模型。经验表明,锂离子电池在充放电循环中的容量损失与反应活化能、环境温度及循环时间等因素直接相关,表达式如式(2)[8]:

式中:Qloss为电池容量衰减百分比;B为常数;Ea为表观活化能;R为气体常数;T为绝对温度;t为时间;z为幂律因子。由于循环老化过程中采用恒流模式充电,为更好地将控制变量充电截止电压纳入模型中,我们采用过度充电循环过程中累计充电容量(accumulative charging capacity,QAC)等效替换时间参量t。此外,在本工作中环境温度基本为常量,因此可以将整体简化作为一个常量记为系数b。综上,我们构建了基于过充循环工况下的容量衰减模型[式(3),图2(b)]:

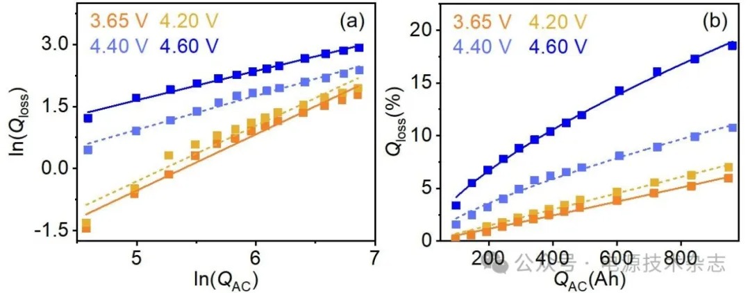
图2 LFP电池在不同充电截止电压下过充循环(a)容量损失(Qloss)与累计充电容量(QAC) 之间拟合的线性关系及(b)容量衰减模型
不同充电截止电压条件下,磷酸铁锂电池容量损失与累计充电容量之间拟合的对数线性关系如图2(a)及表2所示,显示拟合结果良好(R2>0.98)。另外注意到轻度过充工况(4.20 V)与正常循环过程(3.65 V)下拟合曲线斜率比较接近;与之对应,两种中度过充工况(4.40、4.60 V)下拟合曲线斜率也互相接近,这进一步说明了2.1节中对于过充程度划分的合理性。图2(b)则直观地展示了不同电压过充循环工况下的容量衰减趋势,在相同累计充电容量下,电池容量衰减程度随过充电压的升高而明显增加。
根据拟合结果(表2),电池容量衰减模型的系数b随着充电截止电压的升高而不断增大。由于系数b()包含了表观活化能Ea说明过充电压越高,电池内部正常脱嵌锂离子反应也越难,对电化学性能造成影响也越大,相应地电池容量衰减越快,这与实验观察到的趋势相吻合。另一方面,与累计充电容量相关的幂律因子z却随着充电截止电压的升高而逐渐降低:z值从轻度过充情况下约1(3.65 V 下z=1.063 5及4.20 V 下z=1.023 6)降至中度过充情况下约0.7(4.40 V 下z=0.714 9及4.60 V 下z=0.664 5),进一步印证了2.1节中针对过充程度划分的合理性。有研究表明,SEI膜消耗的Li含量理论上与t0.5成正比(z=0.5)[9],此时对应于锂电池中负极SEI膜的生成是活性锂损失(loss of lithium inventory,LLI)的主要方式之一。据此我们推测,在中度过充条件下(z值约0.7,接近0.5),磷酸铁锂电池容量衰减主要是受负极生成SEI膜消耗活性锂主导(LLI),而z值大于0.5本身又表明同时还存在其他影响电池容量衰减的因素。
表2 LFP电池在不同充电截止

本工作针对过充循环下电池容量衰减拟合结果中,与累计充电容量相关的幂律因子z均大于0.5,表明电池内部除受负极SEI膜的生长所主导衰减因素外,还存在其他导致容量衰减机制。随着过充电压的升高,z值不断趋近于0.5,当充电截止电压升高至4.60 V时,z值达0.664 5,说明该型磷酸铁锂电池在高电压过充循环过程中(尤其以4.60 V为例)的容量衰减可能由负极SEI膜消耗活性锂损失(LLI)所主导。
2.3 过充循环条件下电池容量衰减机制
通过电压微分(DV)曲线技术,我们初步对过充循环条件下电池容量衰减的原因进行了分析。对于磷酸铁锂电池,由于正极活性材料磷酸铁锂在脱嵌锂离子过程中电压平台变化较小,因此磷酸铁锂电池DV曲线的特征主要体现了负极活性材料石墨的相变过程。如图3(a)所示,磷酸铁锂电池DV曲线在0.32、0.75和0.94 Ah处分别存在三个特征峰AN1、AN2、AN3,其中新鲜电池的AN2特征峰往往不明显。任意特征峰的峰位置[例如Q3或Q1,见图3(a)]的左移主要反映的是活性锂损失(LLI),任意两个特征峰之间的峰间距[例如ΔQ13,见图3(a)]的减小主要反映的是负极活性材料的损失(loss of active material on negative electrode,LAMNE)。[10]

图3 LFP电池分别在以(a)3.65 V、(b)4.60 V为充电截止电压下的电压微分曲线以及(c)相应的特征峰位置和峰间距随循环次数的变化关系图
图3(a)(b)分别为正常充放电循环和4.60 V过充放电循环测试过程中磷酸铁锂电池DV曲线的变化情况。可以看出经过一定周期的循环老化后,三个特征峰的位置均发生了不同程度的偏移,其中AN3特征峰的变化最为灵敏,因此,本工作重点量化分析了特征峰AN3的峰位置Q3以及其与AN1峰间距ΔQ13的变化。如图3(c)所示,正常循环时峰位置Q3与峰间距ΔQ13(橙色点线)在实验周期内变化较小,其所代表的容量变化占初始容量的比例分别为4.7%和2.1%,表明活性锂损失(LLI)是正常循环时电池容量衰减的主要原因。相比之下,以4.60 V为过充电截止电压进行循环充放电时,峰位置Q3与峰间距ΔQ13(蓝色点线)变化率分别为18.7%和7.9%,分别达到正常循环的4.0倍和3.8倍,说明在该过充工况下,发生了相当程度的活性锂损失(LLI)和负极活性材料损失(LAMNE)增加,其中活性锂损失(LLI)仍是主导因素。在设计电池电化学体系时为保证其热力学稳定性,电池的负极电势()和正极电势()分别需要位于电解液的最低未占分子轨道(lowest unoccupied molecular orbital,LUMO)和最高占据分子轨道(highest occupied molecular orbital,HOMO)能级窗口之内(图8),从而限制了电池的开路电压(open circuit voltage,UOCV),以避免电解液发生被氧化或被还原的副反应。然而在过充电条件下,电池负极电势将变得更负,并可能超过电解液LUMO能级,如图8所示,负极电势从变为',同时'也会更趋近负极析锂反应的电势,因此电解液与负极嵌锂之间的副反应将进一步加剧,导致SEI膜明显增厚[11]。由此可推测,高电压过充循环加速了电池内部电解液与电极之间的界面副反应,电池负极表面SEI膜持续增厚,并同时消耗了大量活性锂,进而导致电池电化学性能出现了快速劣化。

图4 (a)(b)新鲜LFP电池和(c)(d)3.65 V、(e)(f)4.60 V循环老化后的LFP电池隔膜和刮取粉末材料后正极极片的光学照片(白色圆虚线框示正极材料脱落位置)
进一步地,我们对老化后的电池进行了拆解和表征,从微观角度深入分析过充循环对磷酸铁锂电池的性能影响机制。在电池拆解过程中,我们发现过充循环老化后电池内的电解液含量相对于新鲜电池和正常循环老化电池明显偏少,推测高电压过充循环加速了电解液界面副反应,这与电压微分曲线分析结果相吻合。图4展示了新鲜电池和3.65及4.60 V过充循环老化后的磷酸铁锂电池中的隔膜和正极极片状态。其中,新鲜电池隔膜接近纯白色[图4(a)],正常充放电(3.65 V)循环800圈后,隔膜颜色出现轻微泛黄;而在过充电(4.60 V)条件下,隔膜颜色则较为明显地加深,并且有一定程度的收缩。隔膜表面颜色的变化说明电池在循环老化过程中隔膜会被氧化,且高电压将会加剧隔膜的氧化速率,这与前文所观察到的电池容量衰减规律一致。值得注意的是,新鲜电池和正常电压下循环老化后电池的正极极片表面材料涂覆致密均匀,刮取时正极材料不易脱落[图4(b)(d)],而过充循环老化后的电池正极极片上的材料则极易脱落[图4(f)中白色圆虚线框示脱落位置],表明高电压过充也会影响正极活性材料与集流体之间粘结强度,在一定程度上增加了界面电阻。

图5 (a)(b)新鲜LFP电池、(c)(d)3.65 V和(e)(f)4.60 V循环老化后LFP电池的正极SEM图(白色圆虚线框示为破裂的正极材料颗粒)
SEM结果显示,新鲜电池正极材料表面光滑、无明显裂纹[图5(a)(b)],而正常循环老化后电池正极极片上出现了少量细小裂纹,磷酸铁锂颗粒表面也同样出现了少许裂纹[图5(c)(d)],呈现颗粒破裂(particle breakage)现象;当以高电压进行过充循环充放电时,极片和材料颗粒表面裂纹更加严重[图5(e)(f)]。正极颗粒裂纹的出现主要是由于高电压过充循环增加了锂离子在磷酸铁锂颗粒中嵌入和脱出引起的相变应力,引发正极活性材料损失(loss of active material on positive electrode,LAMPE),这也是电池容量快速衰减的原因之一 [12-13]。

图6 (a)(b)新鲜LFP电池负极材料SEM图,分别经过(c)(d)3.65 V循环老化和(e)(f)4.60 V过充循环老化后的LFP电池负极材料SEM图
图6所示为相应的电池负极极片SEM图像,由图6(a)可知,新鲜电池的负极石墨材料呈现出清晰的层状结构,且表面较为平整光滑。而经过正常循环老化后,负极石墨的形貌发生了明显变化,材料表面变得较为粗糙,推测表面沉积层是活性锂与电解液反应生成的SEI膜。将电池过充电截止电压提高至4.60 V时,负极石墨材料表面则几乎完全被沉积层覆盖,如图6(e)(f)所示,这也进一步证实了高电压过充循环过程中负极材料表面形成了致密SEI膜,进而导致活性锂损失严重。

图7 不同老化程度下LFP电池负极极片的EDS谱图
图7和表3为电极材料表面元素分析结果,可见电池经过正常和过充循环老化后,其正极材料表面的元素种类及含量均无显著变化,再次说明正极材料可能并非是影响电池容量衰减的主要原因。对负极而言,在一定周期内(如800次)的正常循环后,负极材料表面元素种类和含量相比于新鲜电池同样无明显变化[图7(a)和表3],呈现良好的循环性能;然而,如果工况为高电压过充循环,即以4.60 V为充电截止电压过充循环800次,电池负极材料表面的F和P等元素含量比例分别增加至12.04%和0.84%[质量分数,如图7(b)和表3],是新鲜电池的3.8倍和12.0倍。由于F和P等化学元素是SEI膜主要组分所含元素,证实了材料表面SEI膜的存在。考虑到电解质六氟磷酸锂的化学组成和物质特性,我们推测,高电压过充循环加剧了负极表面沉积锂与电解液之间的副反应,在负极表面形成了致密的SEI膜,同时消耗了大量活性锂,因此导致了电池容量快速的衰减。
表3 不同老化程度下LFP电池正极极片和负极极片的EDS谱图元素含量分析

综上所述,我们深入分析了磷酸铁锂电池在过充循环工况下的容量衰减机制,并绘制了容量衰减机理图(图8)。随着过充循环的进行,电池容量的快速衰减是多因素耦合的结果,其主要包括电池的负极电势在高电压过充时发生负移,导致电池负极表面SEI膜的加速生长引起的活性锂损失(LLI),还有负极活性材料的损失(LAMNE)以及正极材料颗粒破裂造成正极活性材料的损失(LAMPE)。而且随着循环的进行,LLI与LAM的比值不断升高;过充电压越高,LLI与LAM的比值也会越高,说明高电压过充循环条件下电池容量的快速衰减受活性锂损失(LLI)所主导。

图8 磷酸铁锂电池过充循环容量衰减机理图
3 结论
我们研究了典型储能电池单体磷酸铁锂电池在不同充电截止电压工况下的容量衰减规律,构建了相应的容量衰减模型,并结合电压微分曲线分析、电极材料微观形貌表征和元素分析,得出如下结论:
(1)该型磷酸铁锂电池过度充电程度可依据衰减模式划分为轻度过充(3.65 V<电压≤4.20 V)、中度过充(4.20 V<电压<4.80 V)和重度过充(电压≥4.80 V)。其中,轻度过充和中度过充循环均会加速磷酸铁锂电池健康状态的老化;并且充电电压越高,容量循环衰减也越快;重度过充时,电池在经历数个过充循环后便会失效。
(2)基于正常循环工况下的经验公式,我们构建了不同充电截止电压条件下的电池过充循环的容量衰减模型,并能够很好地对轻度和中度过充工况进行拟合。针对与累计充电容量相关的幂律因子z这一关键参量的拟合结果表明,电池内部除受负极SEI膜快速生长导致活性锂损失(LLI)这一主导因素诱发的性能衰减外,还存在其他衰减机制。
(3)电压微分曲线和关键电极材料表征进一步证明,在高电压过充循环条件下电池容量快速衰减是多因素耦合导致的,除了负极材料表面形成致密SEI膜导致的活性锂损失(LLI)之外,负极活性材料的损失(LAMNE)以及正极材料颗粒破裂造成的正极活性材料的损失(LAMPE)也具有一定影响。随着过充循环的进行或者过充电压提高,LLI与LAM的比值都会升高,显示活性锂损失(LLI)是高电压过充循环条件下电池容量的快速衰减的主导因素。




